近日,伟德国际VICTOR1946物理学系程鹏副教授课题组发现一种具有全新晶体结构的新型磁性二维材料FePd2Te2,并与程志海教授课题组、中科院强磁场科学中心郑国林研究员团队和衢州公司杨建辉教授合作对其结构与物性进行深入研究,发现FePd2Te2是一个非常少见的具有面内单轴各向异性的二维铁磁金属,并在一种特殊孪晶结构作用下形成了有趣的面内自旋纹理结构。相关研究成果以“FePd2Te2: An Anisotropic Two-Dimensional Ferromagnet with One-Dimensional Fe Chains”为题于2024年7月24日在线发表于《美国化学会志》(Journal of the American Chemical Society)上。
可以被解理到少层并能保持长程磁有序的二维材料无论对于基础物理研究还是自旋电子学器件应用都具有重要价值,在近年来成为科学界关注的热点。目前被广泛研究的磁性二维材料都或多或少具有一些诸如空气敏感、大单晶制备困难、居里温度低、磁各向异性弱等缺点,因此积极探索具有优异物性的新型磁性二维材料具有重要意义。并且自2004年石墨烯带来二维材料研究热潮至今,人们研究的二维材料大多都是化学数据库里已知晶体结构的固体材料,很少有全新晶体结构的二维材料被发现。
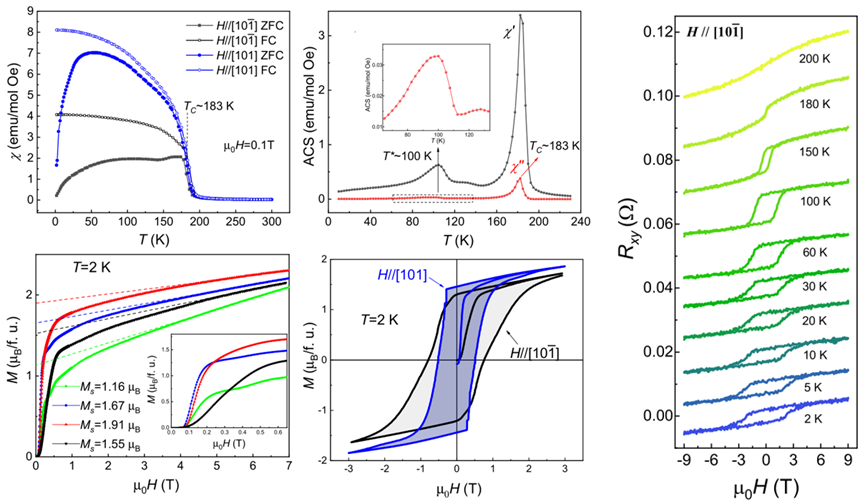
最近,程鹏及合作团队发现一种新型三元化合物FePd2Te2,并成功制备出厘米量级的单晶样品。通过结构解析和密度泛函理论计算发现这是一个具有Fe原子组成的准一维Z型Fe链结构的二维材料(图1),机械剥离实验可以得到厚度低于5纳米的少层薄片。磁化率、输运、比热和中子散射实验结果表明,FePd2Te2是一个居里温度为183K的铁磁金属(图2),具有沿着解理面内方向的强单轴磁各向异性和大矫顽场的硬磁性,并且还表现出巡游磁性和强关联电子行为。有趣的是,扫描隧道显微镜实验在FePd2Te2中观测到一种奇特的面内准一维Fe链转角90度的孪晶结构。并且在孪晶结构和单轴磁各向异性共同作用下,FePd2Te2在解理面内形成一种非常少见的自旋纹理结构(图1)。综合上述研究结果,FePd2Te2首先是一种空气稳定、可制备大尺寸单晶的新型磁性二维材料,为二维磁性领域的研究提供了一个崭新的材料平台。并且它奇特的一维与二维交织的晶体结构、面内单轴各向异性以及孪晶控制的自旋纹理结构,预示着未来在其中探索新奇量子现象和实现自旋电子学器件应用的重要价值。
该研究工作发表在《美国化学会志》期刊(Journal of the American Chemical Society,简称JACS)。JACS是美国化学学会的旗舰学术期刊,创刊于1879年。谷歌学术将其列为在在材料与化学领域排名第一的权威期刊。物理学系程鹏副教授、程志海教授和强磁场中心郑国林研究员为论文的共同通讯作者。物理学系博士生史秉贤为论文第一作者,物理学系博士生耿燕燕、强磁场中心博士生王恒宁和衢州公司杨建辉教授为论文共同第一作者,论文其他合作者还包括中国原子能科学研究院郝丽杰研究员团队和伟德国际VICTOR1946物理学系中子团队。论文中的中子散射实验在伟德国际VICTOR1946联合中国原子能科学研究院自主研制的“行知”冷中子三轴谱仪上完成,得到了中国原子能科学研究院中国先进研究堆提供的稳定中子束流的大力支持。该工作得到了国家自然科学基金、国家重点研发计划、伟德国际VICTOR1946重点机构支持项目等基金的资助。
程鹏课题组近年来一直致力于探索新型磁性二维材料,前期部分研究成果还包括通过Co掺杂在Fe5GeTe2中发现一系列磁性可调控的室温二维范德华磁性材料[Appl. Phys. Lett. 116, 202402 (2020)];制备出具有强磁各向异性的稀土二维范德华反铁磁单晶DyOCl、DyOBr和SmOCl [Phys. Rev. B 104, 214410 (2021),Phys. Rev. Mater. 8,074006 (2024)]等等。
论文链接:https://pubs.acs.org/doi/10.1021/jacs.4c04910

图1:FePd2Te2的晶体结构、晶体照片及STM显示的Fe链及孪晶结构。

图2:FePd2Te2块体的磁性质和薄层样品的反常霍尔效应。